脂质纳米颗粒(LNP)是一种由离子化脂质、胆固醇、磷脂和聚乙二醇化脂质组成的纳米级药物递送系统,广泛应用于RNA药物的体内递送。在新冠疫情期间,LNP技术助力mRNA疫苗的快速开发和大规模生产,展现出巨大的应用潜力。然而,LNP的多组分和复杂性也带来了质量控制和安全性方面的挑战。为了确保RNA–LNP药物的可重复性、稳定性和安全性,需要在研发和商业化过程中建立全面的分析检查点,以多层面表征LNP。
近日,以色列特拉维夫大学Dan Peer等人综述了RNA–LNP药物中化学反应性和纯度的重要性,并提出了适当的正交分析方法,用于设计和分析LNP配方。研究强调了在原材料、药物物质、辅料以及最终产品和储存产品中,都需要关注mRNA–LNP组分的化学反应性和纯度。通过深入分析LNP的化学稳定性,本文为RNA–LNP药物的开发提供了新的视角,并提出了改进LNP设计和药物稳定性的策略。

LNP药物产品质量和化学完整性
LNP药物产品(DP)由药物物质(DS)和辅料组成。在LNP中,mRNA作为DS,需要进行质量控制,包括RNA完整性、残留DNA、残留蛋白、内毒素、双链RNA含量、RNA序列和RNA纯度等。辅料中的脂质对LNP的稳定性至关重要,其杂质可能来自合成路线或降解过程,如氧化和水解。这些杂质可能与mRNA发生反应,产生降解产物,影响药物的安全性和活性。因此,需要开发新的分析方法,以全面控制这些复杂体系的质量。

图|LNP组分及其组装
LNP内部脂质和RNA之间的相互作用
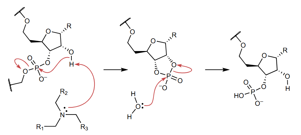
在LNP中,脂质和RNA紧密接触,形成特定的结构。这种局部环境与体相中的条件有很大不同,影响着LNP组分的化学反应性和稳定性。例如,由于脂质头基团的电荷,LNP内部的pH可能与体相中的pH有很大差异,从而影响酯键的水解动力学。此外,RNA和脂质之间的静电相互作用可能导致RNA–脂质加合物的形成,这些加合物可能影响RNA的翻译效率和生物活性。因此,了解LNP内部的化学反应性对于预测药物的稳定性和活性至关重要。

图|可能的化学降解路径
LNP降解产物的生物学影响
LNP降解产物可能对生物系统产生多种影响。例如,RNA–脂质加合物可能导致蛋白质翻译效率降低,产生不完整的蛋白质、截短蛋白或突变蛋白,这些蛋白可能具有未知的毒性。此外,脂质降解产生的醛类物质可能与RNA发生反应,形成交联,增加RNA的疏水性,影响其与细胞组分的相互作用。这些降解产物还可能引发免疫反应,影响药物的安全性。因此,需要深入研究LNP降解产物的生物学影响,以优化LNP的设计和应用。

图|RNA片段化最常见的水解机制
分析技术与策略概述
为了全面控制LNP药物的质量,需要开发一系列正交分析方法,以从不同角度评估质量参数。这些方法应具有全面性、可靠性和预测性,能够预测药物的体内行为。例如,液相色谱法可用于分析脂质和mRNA的纯度和完整性;质谱法可用于监测脂质杂质;傅里叶变换红外光谱法(FTIR)可用于检测化学修饰;毛细管电泳和尺寸排阻色谱法可用于分析RNA的大小和形状。此外,还需要开发新的分析技术,以更好地表征LNP的结构和动态行为。
改进LNP设计和药物稳定性
通过控制杂质的形成和表征可能的杂质,可以采取策略生产更高质量的生物制药。例如,开发新的脂质头基团,如哌啶基脂质,可以提高LNP的稳定性。此外,优化缓冲液配方、控制水含量、使用抗氧化剂和惰性气体等措施,也可以提高LNP药物的稳定性和活性。通过这些改进,可以更好地控制LNP药物的质量,提高其临床应用的成功率。

图|LNP药物产品中化学杂质形成的生物学影响
小结
RNA–LNP药物因其在疫苗和治疗性应用中的潜力而备受关注。然而,LNP的化学反应性对药物的质量和稳定性有着深远影响。本文综述了RNA–LNP药物中化学反应性和纯度的重要性,并提出了适当的正交分析方法,用于设计和分析LNP配方。通过深入分析LNP的化学稳定性,本文为RNA–LNP药物的开发提供了新的视角,并提出了改进LNP设计和药物稳定性的策略。未来,随着分析技术的不断发展和LNP设计的不断优化,RNA–LNP药物有望在生物医药领域发挥更大的作用。
参考文献:
Kovačič, T., Haas, H., Stotsky-Oterin, L. et al. The impact of chemical reactivity on the quality and stability of RNA–LNP pharmaceuticals . Nat Rev Chem (2025).
https://doi.org/10.1038/s41570-025-00763-x
(来源:纳米人)

