环氧树脂作为高性能材料在航空航天、电子等领域广泛应用,但其传统加工方式限制了多功能化发展。目前,通过添加热塑性聚合物或设计动态共价网络来改善加工性,但前者依赖外部聚合物相,后者缺乏真正的熔融状态。同时,引入离子功能通常需要复杂合成或非共价添加,影响长期稳定性。面对这些挑战,研究人员探索了铵盐作为固化剂的新途径,旨在直接从工业可用原料构建离子环氧网络。
近日,西班牙巴斯克大学David Mecerreyes、Ibon Odriozola课题组提出了一种新型环氧热固性材料,使用铵盐作为硬化剂,实现了从热塑性中间体到热固性的两阶段固化过程。这种方法允许材料在加工初期采用热塑性技术如挤出成型,形成可重塑的预浸料,最终交联成稳固网络。此外,固化后的基质可在温和条件下通过硝酸水溶液化学溶解,高效回收完整碳纤维,为可持续复合材料提供了新平台。相关论文以“Ammonium Salts as Curing Agents to Obtain Ionic Epoxy Resins With a Thermoplastic-to-Thermoset Transition”为题,发表在Advanced Materials。

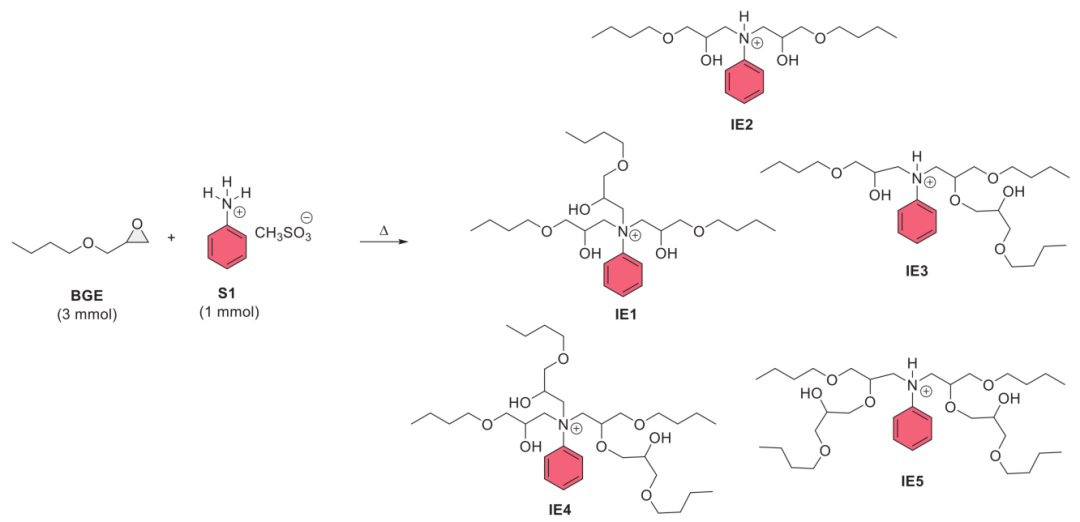
研究首先通过概念图比较了传统环氧网络与新型铵盐固化系统的差异。传统方法使用二环氧树脂与二胺反应形成交联网络,而新策略直接采用铵盐作为固化剂,开启了离子功能化环氧树脂的简便合成路径。在模型反应中,丁基缩水甘油醚与苯胺铵甲磺酸盐在加热下反应,产生了多种离子加合物,表明铵盐能够通过多个N-H键打开环氧环,验证了其作为交联剂的潜力。质谱分析确认了加合物的结构,揭示了复杂的反应模式。

图1: 概念比较图:A) 由二环氧与二胺固化形成的传统环氧网络;B) 提出的使用铵盐作为环氧树脂固化剂的方法。

图2: 反应示意图:展示了3 mmol丁基缩水甘油醚与1 mmol苯胺铵甲磺酸盐反应,生成离子加合物IE1-IE5的混合物。
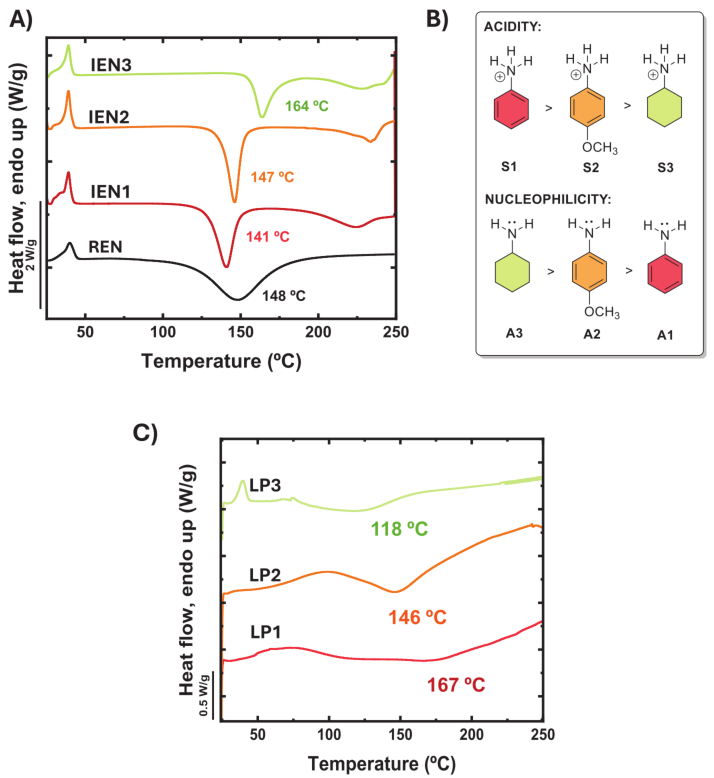
合成离子环氧网络时,双酚A二缩水甘油醚与铵盐反应,经历两阶段过程:首先形成可熔、可溶的热塑性中间体TP1,随后在更高温度下交联成不溶的热固性材料IEN1。红外光谱监测显示环氧基团消耗和羟基形成,证实了固化机制。差示扫描量热分析显示,铵盐固化系统呈现两个明显的放热峰,对应中间体形成和最终交联,而传统环氧仅有一个宽峰。不同铵盐的比较表明,反应性受盐的酸度控制,而非母胺的亲核性,突出了新机制的独特性。

图3: 合成方案:A) 参考环氧网络REN的制备;B) 离子环氧网络IEN1的制备。

图4: A) 合成环氧网络的DSC加热扫描;B) 本工作中使用的铵盐及其前体胺,按酸度和亲核性排序;C) DGEBA与胺A1-A3反应的DSC图比较。
流变学测试表明,中间体TP1在加热下表现出热塑性行为,存储模量和损耗模量随时间增加后达到平台,频率扫描显示典型聚合物流动区域。挤出实验成功制备了均匀长丝,证明了TP1在加工中的可塑性。动态机械热分析显示,离子环氧网络IEN1的玻璃化转变温度低于传统网络REN,但室温刚度相似,表明离子引入带来了结构异质性,同时保持了机械性能。

图6: REN和IEN1的DMTA曲线。存储模量和tan δ随温度变化。
预浸料制备中,TP1中间体允许碳纤维布在加热下均匀浸渍,冷却后可轻松切割和重塑。局部加热能软化材料,实现形状固定和临时粘合,展示了在复合材料制造中的实用优势。回收实验中,离子环氧复合材料在硝酸水溶液中更快降解,完全去除基质并回收完整碳纤维,纤维直径无变化,突出了离子功能在促进回收中的作用。

图7: A) 持久预浸料制备;B) 预浸料形状重塑;C) 预浸料连接;D) CFRC制备。

图8: A) IEN1复合材料在硝酸水溶液中溶解过程;B) 原始碳纤维的照片和SEM图;C) 回收碳纤维的照片和SEM图。
该研究成功开发了铵盐固化环氧树脂的新方法,通过两阶段固化实现了热塑性加工窗口和离子功能化。未来,这种系统有望用于结构能源存储设备,并结合生物基原料,推动可持续高性能复合材料的发展。
来源:高分子前沿

